Latest from Queryloop
Stay updated with our latest research findings, product developments, and insights into AI optimization
Stay updated with our latest research findings, product developments, and insights into AI optimization
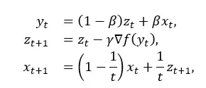
Training 3 Llama models for comparison of Cosine Scheduled and Schedule-Free optimizer.
In the realm of machine learning, we are continuously relying on the intricate algorithms and techniques to train our models effectively.




